Skip Navigation
Skip to contents

K-Neurophysiologist Newsletter / 대한임상신경생리학회 회보

메뉴 열기

Progressive retinal and microvascular neurodegeneration in neuromyelitis optica spectrum disorders: a longitudinal SS-OCT/OCTA study.

Kong, Lingyao, et al. Journal of Neurology 272.9 (2025): 606.

권영남
연세대학교 세브란스병원 신경과

배경

Neuromyelitis optica spectrum disorder(NMOSD)는 반복적인 시신경염(optic neuritis, ON)과 척수염을 특징으로 하는 중추신경계 염증성 질환이다. 전통적으로 NMOSD에서의 장애 축적은 재발과 밀접하게 연관된 것으로 이해되어 왔다. 그러나 최근 optical coherence tomography(OCT) 및 OCT angiography(OCTA)를 이용한 연구에서 ON 병력이 없는 눈에서도 망막신경층 및 미세혈관의 이상이 관찰된다는 보고가 제시되었다. 다만 기존 연구는 대부분 cross sectional study였으며, 재발이 없는 시기에도 구조 및 혈관의 변화가 지속적으로 진행하는지에 대한 longitudinal study는 제한적이었다.


연구 목적 및 대상

이 연구는 AQP4-IgG 양성 NMOSD 환자를 대상으로 swept-source OCT (SS-OCT) 및 OCTA 를 이용하여 망막신경층과 미세혈관 변화를 longitudinal하게 분석하였다. NMOSD 169명(304안), relapsing–remitting MS(RRMS) 111명(222안), 건강 대조군 110명(218안)을 포함하였다. 모든 NMOSD 환자는 AQP4-IgG 양성이며 MOG-IgG 음성이었고, RRMS 환자는 두 항체 모두 음성이었다. 급성 ON 발생 후 6개월 이내의 눈은 분석에서 제외하였다.

영상분석 및 통계방법

6×6mm macular scan 기반의 SS-OCT/OCTA를 이용하여 macular RNFL (mRNFL) 두께, GCIPL 두께, superficial vascular complex (SVC) 밀도, deep vascular complex (DVC) 밀도를 ETDRS 4구역(S, T, I, N) 기반으로 평균값을 계산하였다. 모든 영상은 OSCAR-IB 및 APOSTEL 권고사항에 따라 품질 관리되었다.

Baseline 비교는 연령과 성별을 보정한 generalized estimating equation (GEE)을 이용하여 수행하였으며, OCT/OCTA 지표와 시력 (logMAR), EDSS, 질병기간, ON횟수 간 연관성은 선형 회귀 및 GEE로 분석하였다. Longitudinal analysis에서는 eye-level linear mixed-effects model을 적용하였으며, age, sex, treatment, follow-up time, ON history를 보정하였다.

결과

Cross sectional analysis
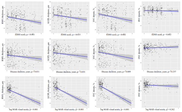
NMOSD 환자는 건강 대조군 대비 mRNFL (33.91 vs 38.88 μm, p<0.001), GCIPL (54.89 vs 64.42 μm, p<0.001), SVC density (38.17 vs 45.96%, p<0.001) 모두 유의하게 감소하였다. RRMS와 비교하였을 때에도 NMOSD는 mRNFL thickness (p=0.011)와 SVC density (p=0.016)가 유의하게 낮았다.

ON 병력에 따른 분석에서, NMOSD-Eyes with ON뿐 아니라 ON 병력이 없는 NMOSD-Eyes without ON에서도 GCIPL 두께가 건강 대조군보다 유의하게 감소하였다 (p=0.006). 이는 ON과 무관한 망막신경층 변화를 시사한다.

mRNFL, GCIPL, SVC는 logMAR 시력과 모두 유의한 음의 상관관계를 나타냈다 (각각 p<0.001). 또한 ON 횟수가 많을수록, 질병기간이 길수록 더 얇은 망막신경층과 낮은 혈관밀도를 나타냈다. 전체 NMOSD 코호트에서 mRNFL, GCIPL, SVC는 EDSS와 유의한 음의 상관관계를 나타내었다.

Longitudinal analysis
재발이 없었던 NMOSD 환자 40명(73안)을 추적한 결과, EDSS 변화 없이도 GCIPL (p=0.047), SVC (p=0.003), DVC (p=0.004)가 시간에 따라 유의하게 감소하였다. 연간 감소율은 GCIPL −0.18 μm/year, SVC −1.11%/year, DVC −1.88%/year였다.

GCIPL 연간 감소율은 baseline logMAR (p<0.001), ON 횟수 (p<0.001), baseline EDSS (p=0.039)와 유의한 음의 상관성을 보였다. 추가로ON 병력이 있는 환자군에서는 baseline EDSS와 GCIPL 감소율 간 연관성은 더욱 뚜렷하였다 (b=−1.10, p=0.006).

결론

본 연구는 NMOSD에서 망막신경층 및 미세혈관 손상이 ON과 독립적으로 발생할 수 있으며, 임상적으로 재발이 없고 EDSS가 안정적인 시기에도 GCIPL 및 혈관밀도 감소가 지속될 수 있음을 longitudinal 하게 분석하여 제시하였다. 또한, SS-OCT/OCTA 지표는 NMOSD에서 구조적 및 미세혈관 변화를 정량적으로 평가할 수 있는 민감한 biomarker로 활용 가능함을 시사한다.

(우편번호:03163) 서울특별시 종로구 인사동길 12 대일빌딩 1111호

Copyright@2003 by The Korean Society of Clinical Neurophysiology